먼저 벡터의 기본적인 의미와 형태를 알아봅시다.
벡터는 크기와 방향을 동시에 가지는 수학적 객체를 의미합니다. 예를 들어 2차원 벡터는 v = (x, y) 와 같이 표현되며, 이는 원점에서 점 (x, y) 까지의 위치를 나타내는 동시에 해당 방향과 크기를 함께 의미합니다.

벡터의 크기는 피타고라스 정의를 활용해 쉽게 구할 수 있겠고, 벡터의 방향은 어떻게 구할 수 있을까요 ?
벡터 v = (x, y)의 방향은 원점에서 벡터가 이루는 각 θ로 정의됩니다. 이때, 삼각함수 정의에 따라 아래와 같이 정의될 수 있겠네요.

벡터는 크기와 방향이 같다면 같은 벡터로 취급합니다.

Fig2의 벡터 A와 B는 시작점만 다를 뿐 크기와 방향이 같음으로 같은 벡터로 취급하는 것이죠.
그럼 위와 같은 벡터의 기본 성질을 가지고 벡터의 덧셈 뺄셈 그리고 스칼라배를 연산하는 방법에 대해 알아보고, 이를 시각적으로도 표현해보겠습니다.
1. 벡터의 덧셈과 뺄셈
먼저 임의의 a, b 벡터를 가정합시다.

Fig3 에서는 두 벡터가 같은 원점에서 출발하고 있지만, 벡터는 크기와 방향만 같다면 동일하므로 Fig4와 같이 b 벡터의 시작점을 a 벡터의 끝점에 맞추어 이동할 수 있습니다.

이때 a의 시작점과 b의 끝점을 연결한 벡터가 곧 a+b가 되며, 이는 Fig5와 같이 표현됩니다.

두 개보다 많은 보다 복잡한 여러 벡터를 더하는 과정은 어떻게 시각화 할 수 있을까요 ?
결국 원리는 동일합니다. Head to Tail rule 을 반복해서 적용하면 되는데요. 예시 결과는 Fig6 와 같이 표현할 수 있습니다.

2. 스칼라 배
벡터의 스칼라배는 매우 단순한 연산입니다. 벡터의 본질적인 방향은 변하지 않으며, 스칼라 값이 양수일 경우에는 같은 방향으로 길이가 ∣k∣배 늘어나거나 줄어듭니다. 반대로 스칼라 값이 음수라면 길이는 동일하게 ∣k∣배 조정되지만 방향은 반대가 됩니다. 즉, 스칼라배는 벡터의 방향은 그대로 두고 크기만 조정한다는 원리를 따르되, 음수의 경우에만 방향을 반전시킵니다.


3. 그렇다면 이러한 벡터의 합과 스칼라배는 어떻게 활용될 수 있을까요 ?
기저벡터인 e1, e2 를 가정해볼께요.

우리는 표준기저 벡터 e1, e2를 이용해 2차원 평면에 존재하는 모든 벡터를 선형결합으로 표현할 수 있습니다.

이는, 좌표 (a,b) 가 기저 벡터에 대한 계수임을 의미합니다.
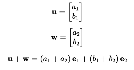
두 벡터의 합 역시 기저 벡터에 대한 스칼라배의 형태로 표현할 수 있습니다. 예를 들어,

이러한 전개가 타당한 이유는 각 성분을 동일비율로 변환하되 방향성은 유지하는 스칼라배의 기본 원칙을 떠올리면 쉽게 증명 가능합니다.

지금까지 내용을 정리하면, 모든 벡터는 표준기저 벡터의 선형결합으로 표현할 수 있으며, 덧셈과 스칼라배 역시 단순히 계수의 연산으로 이해할 수 있습니다.
이를 통해 벡터가 방향과 크기를 동시에 가진 객체임을 명확히 하고, 이를 다루는 기초를 마련하였습니다.
향후 우리는 벡터의 크기를 수치적으로 정의하고 계산법에 대해 살펴볼 필요가 있습니다. 벡터의 크기를 측정하는 tool이 바로 norm 입니다.
norm 은 벡터의 길이를 일반화한 개념으로 distance 나 inner project 등 더 깊은 주제와도 연결되는 중요한 개념입니다.
'선형대수학 기초이론' 카테고리의 다른 글
| 벡터의 내적, 정사영(선형변환 관점으로 해석) (0) | 2024.11.11 |
|---|