
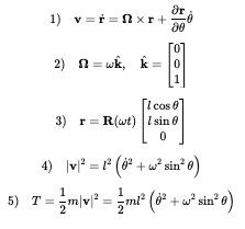
질량이 m 인 구슬 반지름이 l 인 원형 고리를 일정한 각속도 w 로 회전하는 상황을 가정하자.
고리 위를 질량이 m 인 작은 구슬이 마찰 없이 움직인다고 하면, 구슬의 위치는 편각 θ(t) 로 표현된다. 이 때, 구슬의 공간 좌표는 회전 좌표계(Fig1) 보다 관성계에서 기술하는 것이 더 복잡하며, 뉴턴 역학을 적용하면 수식 전개 과정이 더욱 복잡해진다.


식 1과 더불어, 계에 작용하는 총합의 힘이 그 복잡한 가속도를 정확히 만들어 낼 수 있음을 설명하려면, 구슬이 고리를 벗어나지 않도록 하는 구속 반응력(Constraint Reaction Force. N(t)) 까지 고려되어야 한다.

곧 식2 를 성분별로 분해하고 N(t) 를 제거하기 위해 다시금 연립방적식을 풀어내야 할 것이다.
그러나, 라그랑주 역학에서는 구속조건을 l=const. 로 내재화한다. 즉, 구슬의 반지름 방향 변위를 필요로 하지 않고 일반화 좌표 θ(t) 하나로 처리 할 수 있게된다.
이 일반화 좌표가 아니라 '정해진 상수(고정된 파라미터)' 가 되어 아래와 T(운동에너지) 를 도출 할 수 있게 되는 것이죠.

라그랑주 운동 방정식 어떻게 유도되길래 ?

라그랑주 운동방적식은 변분법을 적용하여 임의의 두 시점 x1, x2 사이에서 극값이 되는 운동 경로를 어떻게 찾을 수 있을까?’라는 질문에서 출발한다. 즉, 계의 운동은 작용(운동 경로를 따라 정의되는 물리적 양)을 최소화하는 경로로 결정된다는 원리를 설명한 것이다.
정의에 있어서는 임의의 곡선으로 예로 정의되지만, 각 변수는 운동의 형태에 따라 다르게 변경되어 활용된다.
단계별로, 라그랑주 운동방정식을 유도하는 과정을 전개하해 보자.
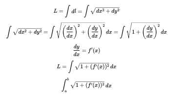
1) 임의의 시점 x1, x2 사이 곡선을 방정식으로 표현해보자.

식3 의 증명은 미소 구간에서의 피타고라스 정리를 적용한 직선 근사 길이의 극한 합을 적분하면 간단히 증명할 수 있다.

2) 임의의 변형 함수
최소 또는 최대, 즉 작용의 극값을 찾기 위해서는 구간 x1에서 x2까지 정의된 모든 가능한 경로를 고려해야 한다. 이때, 기존의 곡선 y(x)로부터 미소하게 변형된 새로운 곡선 Y(x) 를 식4와 같이 정의한다.

여기서 η(x)는 임의의 변형 함수이며, 실제 곡선 y(x)와 변형된 곡선 Y(x)의 차이를 나타낸다.
경로의 양 끝점은 고정되어 있어야 하므로, 변형 함수 η(x)는 다음과 같은 경계 조건을 만족해야 한다.

이는 곡선의 시작점과 끝점은 변하지 않도록 보장하며, 곡선의 형태만을 자유롭게 변화시키는 조건이다.
여기서,

즉, ing ....